inverse_pose(posx1,ori_type_out)
기능
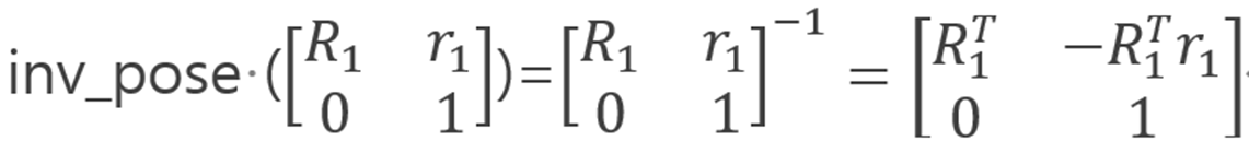
posx의 inverse에 해당하는 posx 값을 리턴합니다.

인수
인수명 | 자료형 | 기본값 | 설명 |
|---|---|---|---|
posx1 | posx list (float[6]) | - | posx 또는 position list [mm, deg] |
| ori_type_out | int | None | output orientation type
|
리턴
값 | 설명 |
|---|---|
posx | [mm, deg] |
예외
예외 | 설명 |
|---|---|
DR_Error (DR_ERROR_TYPE) | 인수들의 데이터형 오류 시 |
예제
posx1 = [100, 20, 300, 90, 0, 180]
inv_posx = inverse_pose(posx1)