Breadcrumbs

inverse_pose(posx1)

Feature

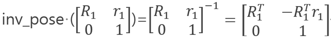
This function returns the posx value that represents the inverse of posx.


image2021-11-4_10-32-49.png

Parameter

Parameter Name

Data Type

Default Value

Description

posx1

posx

list (float[6])

-

posx or

position list [mm, deg]

ori_type_out

int

None

output orientation type

  • None: Follows the orientation type of posx1 input parameter

  • DR_ELR_ZYZ: Euler Angles(z-y'-z'', in degrees)

  • DR_ELR_ZYX: Euler Angles(z-y'-x'', in degrees)

  • DR_ELR_XYZ: Euler Angles(x-y'-z'', in degrees)

  • DR_FIX_XYZ: Fixed Angles(x-y-z, in degrees)

  • DR_ROTVEC: 3D rotation vector (angle/axis representation)

  • DR_QUAT: unit quaternion(x, y, z, w)

Return

Value

Description

posx

[mm, deg]

Exception

Exception

Description

DR_Error (DR_ERROR_TYPE)

Parameter data type error occurred

Example

Python
posx1 = [100, 20, 300, 90, 0, 180]
inv_posx = inverse_pose(posx1)